محتوى المقال
الامتحان الوطني الموحد لمادة الرياضيات شعبة العلوم التجريبية مع التصحيح دورة يوليوز 2020
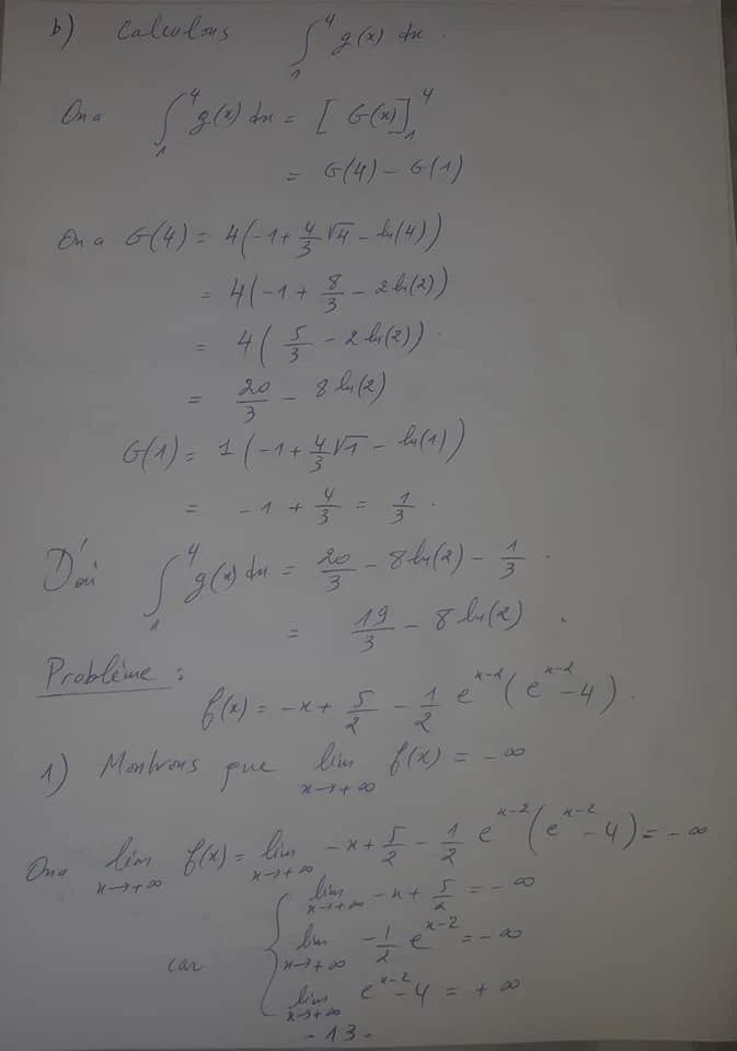
تصحيح الامتحان الوطني الموحد لمادة الرياضيات دورة 2020 شعبة العلوم التجريبية، لمسلكي العلوم الفيزيائية و علوم الحياة و الارض - خيار فرنسية
تصحيح الامتحان الوطني مادة الرياضيات للثانية باك
يسعد موقع المستجد التربوي أن يضع بين أيدي زواره الأوفياء هذا الموضوع الحصري والمتعلق تصحيح الامتحان الوطني الموحد لمادة الرياضيات دورة 2020 شعبة العلوم التجريبية، لمسلكي العلوم الفيزيائية و علوم الحياة و الارض - خيار فرنسية وذلك في اطار أرشفة المواضيع الامتحانات الوطنية 2020 pdf ليستفيد منها الطلبة في الاستحقاقات القادمة ، مع أطيب المتمنيات لكم زوارنا الاوفياء بالتوفيق والنجاح في مساركم الدراسي والمهني


correction de l'examen national mathématiques 2020 2bac, science physique et science de la vie et de la terre









تصحيح الامتحان الوطني الموحد لمادة الرياضيات 2020 









0تعليقات